last update 2002/9/18
研究集会
「量子化の幾何学2」
下記のような研究集会を開催しますのでご案内申し上げます。
研究代表者 郡 敏昭 (早稲田大学理工)
e-mail:![]()
日時:2002年9月11日(水)〜9月13日(金)
場所:早稲田大学理工学部62号館W棟1階大会議室(62W-1-07)
URL:http://www.math.waseda.ac.jp/~kori/workshop-2002.html
講演OHP、レジメ、参考文献などが見れます(or ダウンロード)。
Program
| 9月11日(水) | ||
| 11:00-12:00 | 村上 順 | 量子不変量入門 I |
| ノート 1 2 3 4 5 | ||
| 13:15-14:15 | 筧 三郎 | 自己双対ヤン・ミルズ方程式とトロイダル・リー代数 |
| 講演OHP (pdf.file) | ||
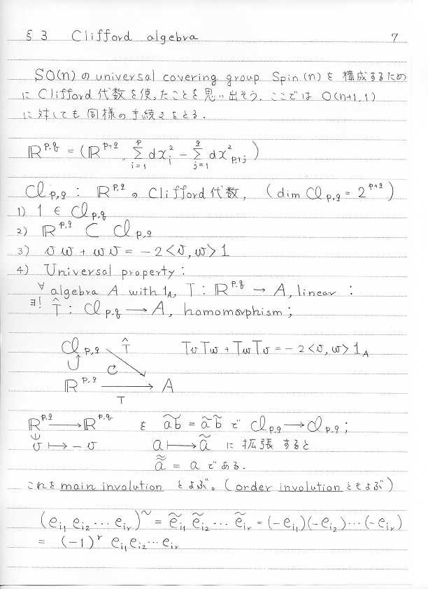
| 14:30-15:30 | 井ノ口 順一 | Clifford algebras and conformal geometry of surfaces. |
| レジメ 1
2
3
4
5
6
7
8
9
10
11
12
13
14
15
16
17
18
19 参考文献リスト(pdf.file) |
||
| 15:45-16:45 | 乙藤 隆史 | 量子コホモロジーと可積分系 |
| 講演OHP 1 2 3 4 5 6 7 8 9 10 11 12 13 14 | ||
| 17:00-18:00 | 本間 泰史 | Dirac operatorからgradientsへ |
| 講演OHP (pdf.file) 参考文献(pdf.file) | ||
| 9月12日(木) | ||
| 11:00-12:00 | 村上 順 | 量子不変量入門 II |
| ノート 7 8 9 | ||
| 13:15-14:15 | 野田 知宣 | 運動量写像と簡約定理(仮) |
| レジメ (pdf.file) | ||
| 14:30-15:30 | 宮崎 直哉 | 変形量子化とLeibniz homology (仮) |
| ノート 1 2 3 4 5 6 7 8 | ||
| 15:45-16:45 | 岩崎 千里 | A local version of Riemann-Roch theorem on complex manifolds |
| ノート 1 2 3 4 5 6 | ||
| 17:00-18:00 | 藤井 一幸 | 量子論理ゲート入門-交換ゲートと不完全クローン- |
| 論文 (pdf.file) | ||
| 9月13日(金) | ||
| 11:00-12:00 | 浜中 真志 | 非可換空間上のゲージ理論とソリトン |
| 講演OHP 0 1
2
3 4
4+
5 6
7 8
9 10
11 12
13 14
15 16
17 18
19 20 浜中氏ホームページへ (解説、関連文献など) |
||
| 13:15-14:15 | 浅田 明 | 無限次元積分の正則化-ガウス積分とレイーシンガー行列式- |
| 論文(pdf.file) 講演OHP 1 2 3 4 5 6 7 8 9 10 11 12 |
||
| 14:30-15:30 | 上村 新吾 | 非可換複素射影空間とHochschild次元(仮) |
| 講演OHP (pdf.file) | ||
| 15:45-16:45 | 郡 敏昭 | 4次元Wess-Zumino-Witten actions の定義と構成 |
| 論文(pdf) | ||
(*)ノートは、郡研M1岩田悦治氏によるものです。
Time table
| 9月11日(水) | 9月12日(木) | 9月13日(金) | |||
| 11:00-12:00 | 村上 | 11:00-12:00 | 村上 | 11:00-12:00 | 浜中 |
| 13:15-14:15 | 筧 | 13:15-14:15 | 野田 | 13:15-14:15 | 浅田 |
| 14:30-15:30 | 井ノ口 | 14:30-15:30 | 宮崎 | 14:30-15:30 | 上村 |
| 15:45-16:45 | 乙藤 | 15:45-16:45 | 岩崎 | 15:45-16:45 | 郡 |
| 17:00-18:00 | 本間 | 17:00-18:00 | 藤井 | ||
| 懇親会 | |||||
Speakers (あいうえお順)
| 浅田 明 | Free lance Mathematician |
| 井ノ口 順一 | 宇都宮大学教育学部 |
| 岩崎 千里 | 姫路工業大学理学部 |
| 乙藤 隆史 | 日本大学工学部 |
| 筧 三郎 | 立教大学理学部 |
| 上村 新吾 | 慶應大学大学院理工学研究科数理 |
| 郡 敏昭 | 早稲田大学理工学部 |
| 野田 知宣 | 大阪大学理学部 |
| 浜中 真志 | 東京大学大学院理学系研究科物理 |
| 藤井 一幸 | 横浜市立大学理学部 |
| 本間 泰史 | 早稲田大学理工学部 |
| 宮崎 直哉 | 慶應大学経済学部 |
| 村上 順 | 早稲田大学理工学部 |
交通手段及び早稲田大学内の地図 http://web.sci.waseda.ac.jp/campus-map/
昨年度「量子化の幾何学」のwebページ(報告集pdf.fileあり)
http://www.math.waseda.ac.jp/~kori/workshop.html
この研究集会に対する問い合わせは
郡 敏昭 Tosiaki Kori
または
本間 泰史 Yasushi Homma
まで.